이번 장에서는 EM 알고리즘에 대해서 알아본다.
objective function 이 주어졌을 때, 최적화 문제를 푸는 방법은 다양하다. EM 알고리즘의 경우는 maximum likelyhood 나 posteriori(MAP) 설정되어 있는 목적함수의 parameter를 찾는 방법이다. 매 step마다 해를 변경해가면서 최적의 parameter를 찾아간다. EM 알고리즘의 경우는 서로 다른 step을 번갈아가면서 해를 찾아간다. 그 step은 E와 M으로 나뉜다.
E는 Expectation의 E 이고, M은 Maximization의 M 이다. 기댓값을 찾는 과정과 최댓값을 찾는 과정을 반복하는 것이다. E step 은 parameter를 고정시켜 놓고 likelyhood값의 기댓값을 구한다. M step은 그렇게 계산된 기댓값을 다시 최대화하는 parameter를 추정한다.
왜 번갈아 가면서 이 작업을 수행하느냐? 추정하고자 하는 데이터 이외에 관측되지 않은 state가 존재하기 때문이다. 이걸 모르면 정확하게 likelyhood를 구할 수 없고, 쉽게 계산이 안되는 것을 앞전에 베이지안 네트워크 부분에서 알아보았다.
그래서 관측값에 대한 기댓값을 계산하고, 이를 고정시키고 parameter를 추정하고, 이 parameter 하에서 다시 관찰하지 못한 값에 대해서 기댓값을 계산하는 과정을 반복하다 결국 수렴을 하게 되는 방식으로 추정한다.
이번 장에서는 Gaussian Mixture 에 EM알고리즘이 어떻게 사용되는지 알아본다.
직관적인 알고리즘인 K means 알고리즘을 예를 들면서 EM이 어떤식으로 돌아가는지 알아보자. K means에서 목적함수는 풀어서 설명하면 어떤 데이터가 다른 클러스터의 centroid와의 거리가 최대가 되게끔 하는 식으로 흘러간다. 이 때 생각해보면 먼저 사전에 centroid $\mu$를 구하고, 그런 다음 데이터들이 어디속할지 모르니 각 관측치별로 centroid와의 거리를 계산하고, 또 centroid $\mu$를 구하면서 수렴할 때까지 가는 과정을 떠올려볼 수 있다. 이게 위에서 얘기한 기댓값을 계산하고, 이를 고정시키고, parameter를 또 업데이트하고 다시 기댓값을 또 구하는 과정과 연결지어 볼 수 있다.
Gaussian Mixture
가우시안 혼합모델은 k means와는 조금 다른 방식으로 클러스터링을 진행한다. 우리가 가진 데이터가 서로 다른 정규분포에서 얻어진 것이라는 가정. 즉 정규분포의 혼합체로써 전체 데이터를 설명할 수 있다는 것으로 시작한다.
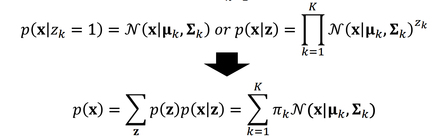
아래의 수식을 보면 어떤 데이터에 분포를 알기 위해 K 개의 클러스터 즉, 정규분포가 있고, 각 분포들의 혼합으로 결정되어 있는 것을 볼 수 있다. 괄호 안에 평균 벡터 $\mu$와 공분산행렬인 $\Sigma$을 볼 수 있다. 그리고 $\pi$는 prior probability 사전확률이라고 하는데, 각각 클러스터들의 확률 즉, 정규분포마다의 비중을 나눠준다. 그래서 0~1 사이의 값을 가진다.


실제로는 모르지만 이럴 것이다 하고 알고자 하는 것이 $\pi, \mu, \Sigma$ 이 되고, 이를 위해 추정을 위해서는 샘플들을 활용해야한다. 이러한 샘플들이 어떻게 관찰되는지 알아보자. 확률적으로 어떻게 모델링되는지 알아보자.
아래의 z는 특정 샘플이 어느 분포에서 왔는지를 나타내는 값이라고 생각하자. 우리는 현재 x 값만 관찰한 상태이다. 그렇다면 z는 k 개의 정규분포 중에서 한군데에서 뽑힌 것일 텐데 어느 정규분포에서 뽑혔는지는 알기 힘들어 latent variable이라고 부른다.
k개의 정규분포에서 뽑힌 z라면 그 정규분포에서 뽑힌 z 라는 것을 의미하는 joint probability 가 아래에 나와있다.

아래의 식같은 경우는 z의 분포를 나타내는데, $z_{i} \in (1,0)$ 이라서 포함되는 k 아니면 전부 0 이기 때문에 포함되는 k 에 대해서만 1의 값을 갖는다.

이를 일반화하면 아래와 같은 식으로 표현을 할 수 있다. 선택된 클러스터 k 의 파이값만 남는 것을 말하고, 특정 분포가 선택 되었을 때 x는 선택된 분포를 따르게 되니까 아래와 같이 죽 전개가 가능하다. 그래서 실제 marginal distribution은 joint distribution에서 모드 가능한 z에 대한 것을 구하고 더하면 계산을 할 수 있게 된다.

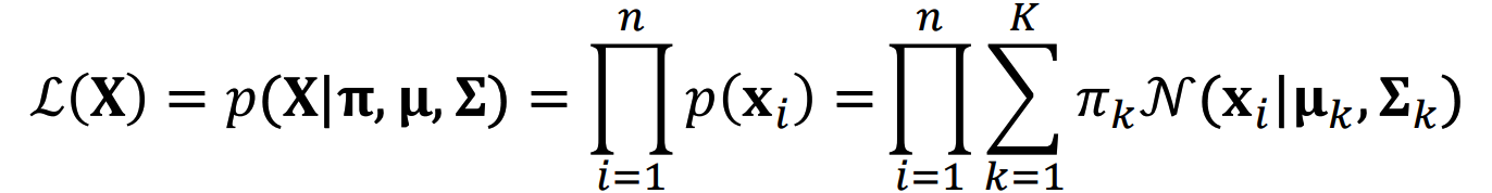
우리가 가정한 상황하에서 p(x)의 marginal distribution을 구하였다. 이제 관찰한 x를 가지고 $\pi_{k}, \mu_{k}, \Sigma_{k}$ 를 구해야한다. 그래서 likelyhood function을 계산해야한다. 각 샘플이 모두 독립적이다 가정을 하기 때문에 p(x)의 marginal distrubution에서 $x_{i}$값을 넣어 n 개의 샘플들에 대해서 모두 곱한 것이 곧 likelyhood function이 된다. 그래서 위의 수식에서 본 것을 합쳐주면 아래의 우항의 수식을 얻을 수 있다. 일반적으로 확률값들을 곱하는 것이다보니 log를 취하여 계산하게 된다.


이제 likelyhood function을 최소화하기 위해서 아래와 같이 $\mu_{k}, \Sigma_{k}$를 편미분하여 0이 되게 하는 계산을 수행한다.

아래는 $\mu_{k}$로의 미분과정을 나타내고 있다. 일반적으로 알고 있는 $ln(x)$의 미분값을 $\frac{1}{x}$ 가 되고, $\mathit{log} \ f(x)$ 의 경우에는 미분하면 $\frac{1}{f(x)} f'(x)$ 가 된다. 아래의 수식에서 sum으로 묶인 term의 분모가 $\frac{1}{x}$와 같이 전자에 해당하고 나머지 분자부분과 곱해진 부분이 후자에 해당되게 된다.

아래는 복잡한 전개를 $\mu_{k} \ = $ 이라는 형태로 바꾸어 주기 위한 전개이다.

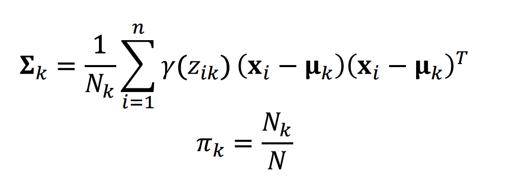
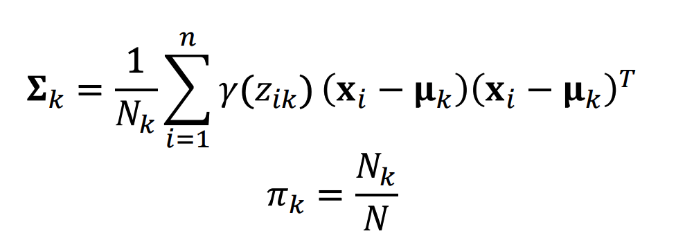
마찬가지로 $\Sigma_{k}, \pi_{k}$ 에 대해서도 전개하여 준다. $\gamma(z_{ik})$ 의 경우에는 $\Sigma_{j}, \mu_{j}$에 dependent 하기 때문에 analitically 하게 최적화 문제를 풀 수 없다.

EM알고리즘은 앞서 얘기한 것처럼 먼저 초기에 k means 클러스터링처럼 유사하다. 샘플들이 어디 클러스터에 속하는지 알면 centroid를 계산할 수 있다. centroid를 구하려면 마찬가지로 샘플들이 어디 클러스터에 속하는지를 알아야 한다. 이런 의존적인 부분이 비슷하다.
샘플들의 클 $\gamma(z_{ik})$ 를 안다고 가정하면, $\mu_{k}, \Sigma_{k}, \pi_{k}$를 구할 수 있다. 반대로 $\mu_{k}, \Sigma_{k}, \pi_{k}$ 를 알면 $\gamma(z_{ik})$를 구할 수 있다. 그래서 여기서 이 두개를 분리해서 계산을 한다. 하나하나 값을 산정해줄 수 없는 상황이기 때문에 티키타카를 해야한다.
Gaussian Mixture 모델에서 EM알고리즘을 통해서 parameter를 추정하는 과정을 보자.
1. log likelyhood 의 초깃값을 계산하기 위해 $\mu_{k}, \Sigma_{k}, \pi_{k}$ 를 initialize 한다. 초깃값을 셋팅해주어야 한다. $\pi_{k}$ 는 모두 더해 합이 1이 나오게, $\Sigma_{k}$는 공분산행렬이니 symmetric해야하고, $\mu_{k}$는 어느 값이와도 상관 없다.
2. 이제 Expectation 단계이다. 초기화한 값을 가지고 아래의 responsibilities 값을 계산한다.
-> $\pi$가 주어 졌다고 하면 결국 이 단계는 $x_{i}$에 대한 확률분포 값이다. 잠재변수의 기댓값을 찾는 과정이라 생각하면된다.

3. Maximization 단계이다. 구한 responsibilities 를 가지고 k 개의 정규분포의 평균, 공분산행렬, prior probability($\pi_{k}$)를 업데이트 할 수 있게 된다.
-> 잠재변수의 기댓값을 기준으로 parameter를 추정하는 단계라 생각하면 된다.

특정 convergence를 만족할 때까지 2, 3 과정을 계속해서 반복해주면 된다.

위 그림은 초깃값으로 시작하여 EM step을 반복하다가 최종적으로 평균과 분산으로 분포를 추정해내는 것을 보여 준다. 아래의 위키피디아의 움짤을 보면 어떤식으로 추정이 되어가는지 쉽게 이해할 수 있다.
Expectation–maximization algorithm - Wikipedia
From Wikipedia, the free encyclopedia Jump to navigation Jump to search Iterative method for finding maximum likelihood estimates in statistical models In statistics, an expectation–maximization (EM) algorithm is an iterative method to find (local) maxim
en.wikipedia.org
EM 알고리즘의 경우 local optimal 은 보장하지만 global하게는 보장을 못한다는 것을 염두에 두어야한다. 완벽한 global parameter를 찾는 것은 사실 불가능하다고 할 수 있다. 초깃값에 따라 local point 또한 달라진다.

'머신러닝' 카테고리의 다른 글
| gradient descent(경사하강법) 를 쉽게 이해해보자. (0) | 2020.12.14 |
|---|---|
| Ensemble Methods (0) | 2020.11.29 |
| Dimensionality Reduction (0) | 2020.11.16 |
| Support Vector Machine(2) (0) | 2020.11.06 |
| Nearest Neighbor Method (0) | 2020.10.18 |
댓글