eigen value/vector 이에 따른 matrix의 성질에 대해 알아보자.
책에는 다음과 같이 eigenvalue equation을 정의하고 있다. $A$ 행렬에 대하여 eigenvalue $\lambda$와 eigenvector $x$를 보시라.


4.26 식은 eigenvalue가 유일하지 않다는 걸 말해주기 위함이다. 고유벡터는 상수 곱으로 또다른 고유벡터로 표현될 수 있다. $cx$도 $x$처럼 eigenvector가 될 수 있다.

$A$에 모든 고유벡터들은 고유값과 함께 span을 하게 된다. 이때의 span 하는 공간을 $\lambda$에 의해 정의되는 $A$의 eigenspace라고 하고 $E_{\lambda}$로 표기한다. $A$의 eigenvalue들의 집합을 eigenspectrum 또는 spectrum이라한다.
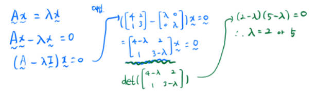
eigenspace $E_{\lambda}$는 homogeneous system으로 구할 수 있다. $(A - \lambda I)x = 0$ 를 통해서 말이다. $(A - \lambda I)x = 0$ 를 특성방정식(characteristic equation)이라 하는데 만약 좌변 $x$의 계수 부분이 역행렬이 존재하면 $x$는 항상 영벡터여야하니까 그러면 안되니까 특성방정식을 통해 역행렬이 없는 조건을 만족하는 $\lambda$를 찾는 것이다.
각설하고, 고윳값과 고유벡터를 구해보자.

step1) eigen value $\lambda$를 구하라.

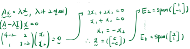
$\lambda$가 2또는 5가 나왔다. 이제 이를 대입하여 eigenvector도 구해보자.
setp2) eigenvector $x$를 구하라.

$E_{2}$를 먼저 구하고 같은 방법으로 $E_{5}$도 구하면 위처럼 두개의 eigenvector space를 구할 수 있게 된다.
eigenvector space에서의 차원은 즉, 선형독립인 eigenvector의 개수와 같다.

위의 그림은 기존의 2차원 벡터공간에서 특정 eigenvector와 eigenvalue를 가지고 eigenspace를 만들어 낸것을 보여준다. 우리가 고윳값과 고유벡터를 구하는 이유는 기존의 표준기저로 특정 좌표들을 설명하기 힘든경우가 있을 것이고, 힘들지 않더라도 쉽고 간단하게 나타내기 위해 축을 바꾸어 준다고 생각하면 된다. 그 축에 해당되는게 eigenvector들이 되고, 그 축으로 부터 상수배하며 손쉽게 좌표를 찍을 수 있게 해주는 것이 eigenvalue값들이다.
축에 상수배만으로 표현된다면 아주 쉽게 표현할 수 있게 된다. $(\sqrt{2}, \sqrt{2})$ 라는 2차원 공간에서 표준기저 [1 0], [0 1]로 만든 좌표는 [1 1],[1 -1]기저로 표현하면 $(1, 0)$으로 표현이 된다. 축하나의 1배로 표현한 것이다. 쉽고 간단하게 표현한다는건 좋은 것이다.
몇가지 더 알아보면, 정의 4.13과 같이 $n$차원의 한 정방행렬 $A$가 선형독립인 eigenvector의 수가 $n$보다 작으면 $defective$ 하다고 한다.

4.14가 말하고자 하는 것은 항상 symmetric하고 positive semidefine한 행렬은 4.36과 같이 직사각 행렬이여도 대칭행렬을 만들어 줄 수 있다는 것을 말한다. 게다가 그 랭크가 $n$이면 symmetric, positive define의 성질을 지닌다.

$A = PDP^{T}$ 는 대칭행렬 $A$가 가진 성질인데, 여기서 $P$는 $A$의 eigenvectors로 구성된 행렬이고 가운에 $D$는 diagonal matrix로 원소가 eigenvalue인 행렬을 말하며, 대칭행렬 특성상 표현될 수 있는 방법 중에 하나이다.

4.16, 4.17은 정방행렬일 때 eigenvalue의 곱, 합은 각각 determinant와 trace에 해당한다.
'수학' 카테고리의 다른 글
| Gradients of Matrices (0) | 2020.05.27 |
|---|---|
| Differentiation of Univariate/Multivariate Functions (0) | 2020.05.27 |
| Linear Algebra(5) (0) | 2020.04.26 |
| Linear Algebra(4) (0) | 2020.04.26 |
| Linear Algebra(3)_linear Mappings (0) | 2020.04.07 |
댓글